Математическая модель структурообразования

Котин В.В., Мелехова О.П.

Московский государственный университет им. М.В. Ломоносова, биологический факультет, 119899, Москва, Воробьёвы Горы, Россия; тел. 939 3915

В данной работе предпринята попытка построить компьютерную модель эмбриогенеза на основе экспериментальных данных. Рассматривается одномерная модель типа "реакция-диффузия", описывающаяся кинетическими уравнениями

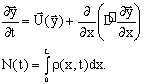
(1)

-вектор переменных состояния (j=1..4), - вектор-функция реакций, - диагональная матрица коэффициентов диффузии, N(t)-число клеток, образовавшихся к моменту времени t.

В предлагаемый вариант математической модели включены следующие переменные состояния и параметры: y1(x,t) - плотность клеток; y2(x,t) - концентрация субстрата; - концентрация ингибитора; - концентрация свободных радикалов; D11= D22=0; D33, D44 - коэффициенты диффузии ингибитора и свободных радикалов.

Первоначально рассматривается квазилинейная форма оператора реакций , а коэффициенты диффузии предполагаются постоянными. Элементы матрицы реакций ij (i,j = 1..4) имеют следующие знаки:


На границах отрезка [0, L] задаются краевые условия с нулевым потоком субстрата, ингибитора и свободных радикалов. Начальное распределение плотности клеток принимается равномерным .

Для численного решения уравнений кинетики (1) выбрана симметричная неявная разностная схема с шеститочечным шаблоном [2]. Разрабатывается (в среде С++) программный комплекс с наращиваемой структурой и возможностью безболезненной модификации модулей, обрабатывающих вектор-функцию реакций. При кодировании используется объектно-ориентированный подход. Основная цель разработки - создание открытой вычислительной системы, допускающей возможно более широкий диапазон вариаций вида вектор-функции реакций. В настоящее время отлажены и тестируются отдельные модули программы. На следующем этапе предполагается рассмотреть задачу с нелинейной диффузией.

  1. Мелехова О.П. О пространственно-временной программе эмбриогенеза. В настоящем сборнике.