Колебания и хаос в моделях динамики популяций лососевых рыб

Ласт Е.В.

Институт автоматики и процессов управления ДВО РАН, 690041, Владивосток, ул. Радио 5, Россия; тел.: (4232)31-37-83 факс: (4232)31-04-52; E-mail: frisman@iapu2.marine.su

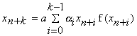
Предлагается вариант общей модели динамики численности лососевых рыб, являющихся одним из основных объектов рыбного промысла на Дальнем Востоке. Базовая модель динамики численности популяции лососевых рыб имеет вид:

,

где - количество икры, отложенной всеми самками в n-м году, а - репродуктивный потенциал популяции, i - доля рыб возраста (k-i) в нерестовом стаде, - коэффициент выживаемости на первом году жизни, k - максимальный возраст рассматриваемого вида рыб.

Модель была построена без учета внешних факторов (погодные условия, хищничество, конкуренция за пищу и т.д.), но ее исследование показало наличие последовательности бифуркаций, приводящих к возникновению замкнутых инвариантных множеств и удвоению периодов циклов. Таким образом, было установлено, что значительную роль играют внутрипопуляционные механизмы (плотностно-зависимая регуляция изменения численности, сложная возрастная структура).

Показано, что оптимальное управление популяцией вводит ее в такой режим, при котором исключена возможность каких бы то ни было колебаний численности, обусловленных внутрипопуляционными факторами. Это объясняется тем, что в стационарном случае при описанной стратегии промысла и оптимальной доле изъятия неподвижная точка остается устойчивой независимо от значения параметров системы.

С помощью этой модели предлагается способ решения задачи оптимального управления для произвольной популяции лососевых рыб на основе данных о численности нерестового стада и его возрастной структуре. При решении предполагалось, что промысел ведется таким образом, что из каждой возрастной группы изымается фиксированная одинаковая часть особей. Для этого уравнения были найдены и исследованы на устойчивость стационарные точки, а также разработана схема вычисления параметров, при которых в системе происходят бифуркации, вызванные потерей устойчивости неподвижной точкой.

Работа выполнена при финансовой поддержке РФФИ, грант № 96-01-00539.