Qualitative analysis of a cooperative-competitive model of excitation-inhibition of the cerebral activity

Collar A.F.

Faculty Of Physics And Mathematics, Benemerita Universidad Autonoma De Puebla, Mexico E-mail:fraguela@fcfm.buap.mx

This work study models that permit to describe the temporal and spatial dynamic of the actives cortical sources and permit to relate the synaptic activity with the measures potential in EEG.

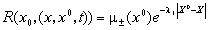
For the local interaction of a neuronal mass of the cerebral cortex in a unidimensional model; we get the following system of equations:

,

where is the density of synaptic activity (+ excitatory, inhibitory ) in the column of cortex centered in the point x in a instant t, this mean, the number of active synapsis by square centimeter on x,. in the time t; is the total fraction of neurons on the column x that "shoot" in the time t, is the number of synaptic connections by square centimeter on x provided by a unit of length of neurons in x, and is the density of synaptic activity on the column x in the time t produced for the external entrance to the cortex. In this model the function g is a sigmoid function of the variables and this mean, , if and if, where , , , are certain constants and g is a real function of the variables with values [0,1]. In the exposition we will talk about the deduction of this model and the problem of the existence of rhythms. Also we will talk about other more complicated models where the scale of decreasing for the synaptic connections is constant only locally.