Characteristic features of self-sustained oscillation processes in active recovery medium

Lobanov A.I., Starozhilova T.K., Guria G.T.1

Moscow Institute of Physics and Technology (State University), 141700, Moscow Rgn., Dolgoprudnii, Institutskii per. 9, Russia; E-mail: alexey@gecko.crec.mipt.ru, tanya@gecko.crec.mipt.ru;

1National Centre of Haematology, Moscow, Novo-Zykovskii pr. 4a, Russia; E-mail: guria@biomedicus.blood.ru

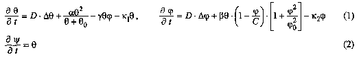
It is customary assumed that evolution of self-sustained oscillation processes in active medium depends only on its properties, rather then activation ways, i.e. parameters of equations and not initial conditions are decisive factors. It will be sufficient if initial disturbance of spatial uniform steady state should exceed certain threshold. We found that different kinds of initial perturbation determine various self-sustained oscillation processes even in simple system. Investigated system was suggested for modeling blood coagulation processes and is given by:

Here , are concentrations of activator and inhibitor of coagulation process consequently; D is their diffusion coefficient; , , , C, 1, 2, 0, 0 are kinetic model parameters; is concentrations of forming thrombus polymer. Equations (1) have the only spatial uniform stable steady state (=0, =0). Different perturbations of activator steady distribution were used as initial conditions to simulate coagulation process in vitro.

Numerical results in one-dimensional cylindrical symmetry case show that self-sustained oscillation processes in the system depend on initial perturbation: its integral value and typical spatial scale [1]. Obtained results were justified by theoretical analysis of the initial stage of self-sustained oscillation processes. It was also found the similar dependence in 1D plane case [2].

However, in the real experiments initial activator distributions have no radial symmetry, and, as it follows from above consideration, its small fluctuations may play significant role. In this case observed effects will be two-dimensional. Using 2D calculations as the base we investigated regulations of self-sustained oscillation processes in the model (1)-(2) [3]. It was found that irregularities of initial activator distribution could qualitatively change process development and result in polymer pattern formation of complex form instead of circular patterns like "targets". Numerical simulations have revealed a recurring scenario of thrombus formation by moving, dividing and interacting structures of activator concentration.

Research was carried out under support of Russian Foundation for Basic Research, grant N 96-01-01306.

  1. G.T. Guria, A.I Lobanov, T.K.Starozhilova. Formation of patterns with accial symmetry in excitable medium with active recovery.//Biofizika, 1998, v.43, N2.
  2. A.I Lobanov, T.K.Starozhilova. Qualitative inverstigation of pattern formation at the initial stage in the reaction-diffusion model.//Matematicheskoe modelirovanie, 1997, v.9, N12, pp.3-15. (in russian)
  3. A.I Lobanov, T.K.Starozhilova, G.T. Guria. Numerical investigation of pattern formation in blood coagulation.//Matematicheskoe modelirovanie, 1997, v.9, N8, pp.83-95. (in russian)